Wat is obesitas en wanneer spreek je hiervan? Merk je ook wel eens om je heen dat je vaak mensen ziet die futloos zijn, maar ook tegelijkertijd veel overgewicht hebben? Zelfs mensen die zwaaien met hun benen om zich te verplaatsen, omdat hun knieën versleten zijn bij een leeftijd van 40-50 jaar? Dan ben je niet de enige die dit opvalt, want overgewicht is een serieus ziekteverschijnsel aan het worden.
Daarom dit artikel om obesitas duidelijk te gaan beschrijven op meerdere vlakken dan alleen sport en voeding. Dat wil niet zeggen dat alle vlakken even diepgaand zijn, maar er worden wel nieuwe invalshoeken benaderd. Obesitas is en blijft een complex proces, waarin professionals alsnog veel “vergeten” om te veranderen.
Hieronder een definitie van obesitas om het onderwerp iets beter te begrijpen [69]:
Een chronische ziekte waarbij een zodanige overmatige vetstapeling in het lichaam bestaat dat dit aanleiding geeft tot gezondheidsrisico’s.
Obesitas is een chronische ziekte, omdat overgewicht vaak voor langdurige problemen zorgt. Daarnaast bedoelen ze met vetstapeling het vervetten van het lichaam. Met vervetten wordt bedoeld dat het vet rondom de organen (intra-abdominaal – binnenin de buik) steeds meer wordt. Door deze vervetting kunnen bepaalde organen hun werking niet optimaal uitvoeren. De kans op gezondheidsrisico’s zal daarom toenemen.
Zo lees je straks dat er verschillende soorten vetweefsels zijn.
De oorzaak van de cijfers van overgewicht
Iedereen weet dat overgewicht een extreem grote rol speelt in heel de wereld. Alsnog blijven de obesitascijfers lichtelijk stijgen (CBS – 2015 → 36,6% heeft matig overgewicht en 13,7% heeft ernstig overgewicht in NL), terwijl het eigenlijk duidelijk is dat een te grote energie-inname (kcal) een rol speelt voor dit probleem. Hieronder een figuur welke de overgewichtcijfers weergeeft in Nederland in 2012 [68]:
De laatste meting van het CBS dat in een kaart is gezet, was in 2012 [74].
Zoals je ziet in de bron is vooral ernstig overgewicht 0,1% omhoog gegaan, maar de cijfers van 2015 liegen er niet om: ze zijn te hoog. Desondanks blijven mensen veel te veel eten/drinken en bewegen wij steeds minder. Een combinatie van beide aspecten zorgt ervoor dat het lichaamsgewicht sneller toeneemt. Stel je voor in de volgende situatie:
A) Persoon beweegt niet/nauwelijks en eet 800 kcal teveel per dag (5600 kcal per week erbij)
B) Persoon beweegt wel t.o.v. persoon A, verbrandt per sportmoment 800 kcal en eet op de sportdag 1100 kcal meer door trekgevoelens die zijn ontstaan door het sporten (oftewel: eet 300 kcal teveel per dag – 2100 kcal per week erbij)
Als persoon A/B op deze manier door eet en/of drinkt, dan zal deze persoon elke week in lichaamsgewicht aankomen (vergeet niet dat dit in het voorbeeld extreem versimpeld is). Natuurlijk zal de toename van lichaamsgewicht steeds iets minder worden, omdat het totale lichaamsgewicht toeneemt. Hierdoor neemt het basale metabolisme (BMR – rustverbranding) ook iets toe. Vergis je niet, dat is niet extreem veel. Kijk maar met BMR:
- 88,362 + (13,397 × 90 kg) + (4,799 × 180 cm) – (5,677 × 24 jaar) = 2022 kcal
- 88,362 + (13,397 × 100 kg) + (4,799 × 180 cm) – (5,677 × 24 jaar) = 2156 kcal
Het is dus een verschil van ongeveer 130 kcal per dag als iemand 10 kilogram zwaarder is geworden. Dit zijn slechts berekeningen en schattingen. Ga er niet vanuit dat alles 100% accuraat is. Als je 20 kcal per dag teveel eet, dan kan je ongeveer een kilo vetmassa aankomen in een jaar (theoretisch gezien). Je komt dus niet met 2600 kcal inname per dag elk jaar hetzelfde aan. Je stijgt namelijk ook in gewicht, waardoor je steeds iets minder aankomt in lichaamsgewicht door een hogere rustverbranding.
Aankomen in vetmassa verschilt per persoon?
Dit is per persoon verschillend, omdat een beweegpatroon, eetpatroon en hormonen hierbij een rol spelen. Kijk maar naar het volgende grafiek waar ze 24 mensen voor 22 dagen 1000 kcal meer lieten eten dan dat ze nodig hadden (positieve energiebalans) [64]:
De één komt vier kilogram aan en de andere komt 13 kilogram aan in lichaamsgewicht. Zo zie je maar dat er niet een speciale regel is die voor iedereen geldt, maar dat je het per persoon moet bekijken. Zo moet je wel rekening houden met de energiebalans (kilocalorieën in en uit), maar de uitkomst van energie-inname minus energiegebruik verschilt per persoon. Daarnaast kan je niet 100% weten wat iemand gebruikt aan energie met zijn of haar lichaam. Het blijven schattingen.
Dus de bovenstaande grafiek zegt alleen iets over het aankomen, maar wat zegt het over iemand zijn of haar beweegpatroon? Eigenlijk niet veel. Je weet namelijk niets van beweegfrequentie of beweegintensiteit.
De maatstaaf BMI als bepaling voor obesitas?
De Body Mass Index (BMI) is een methode om te bepalen of je ondergewicht, normaal gewicht, overgewicht of ernstig overgewicht hebt. Dat wordt bepaald aan de hand van een formule:
- BMI = Gewicht (in kg) / lengte (in m)²
Even een rekenvoorbeeld als je 100 kilogram weegt en 1,80 meter lang bent:
- 100 kilogram / (1.80 × 1.80) = 30,9 (BMI)
De BMI-waarde is voor niet-sportende mensen een goede richtlijn om te bepalen of je wat moet doen aan jouw lichaamsgewicht (confrontatiemoment). Veel professionals gebruiken dit middel om mensen met zeer veel overgewicht te laten inzien dat zij in een categorie vallen van “obesitas”. Het woord is soms al angstaanjagend, omdat iedereen weet dat veel (extreem) overgewicht ook veel gezondheidsklachten met zich mee kan brengen.
Het klinkt vreemd, maar niet iedere persoon is met zijn of haar uiterlijk bezig. Hierdoor valt hen 5–10 kilogram extra niet op. Denk ook aan verschillende waarnemingen die mensen hebben over “goed gewicht”. In Amerika kijken ze niet om naar 10 kilogram overgewicht.
Pas wanneer kleding niet meer gaat zitten of onzekerheid een grote rol gaat spelen (of erger …), ga je pas actie ondernemen. Het is onverstandig om dan te roepen: “Eigenlijk heb je te laat ingegrepen.” Is dat nu eigenlijk ook zo als je kijkt naar de kans op gezondheidsrisico’s? Het is algemeen bekend dat je met zulke oplossingen juist de kans op gezondheidsrisico’s enorm verkleint. Doorzetten dus! Echter is blijvende schade van weefsels wel een probleem (denk aan knieslijtage). Natuurlijk werkt iedereen volgens de wijze: “liever voorkomen dan genezen”.
Vergeet niet dat het vaak wel te laat is voor esthetische redenen. Denk aan overtollig vel waarop je striae ziet. Dan betekent dat de rek uit de huid is en insmeren met iets vetachtigs heeft dan geen enkele zin. Sorry dames en heren … hier geen wetenschappelijke artikelen van!
Alsnog even een BMI-tabel uit het rapport van Kwaliteitsinstituut voor de Gezondheidszorg CBO – Diagnostiek en behandeling van obesitas bij volwassenen en kinderen [69]:
Kosten van obesitas in Nederland en wereldwijd
In Nederland kostte obesitas in 2010 zo’n 1,4 miljard per jaar (klik hier voor de bron). Zelfs in de Verenigde Staten (VS) kostte obesitas in 1998 een schokkend cijfer van 5,7% van de totale gezondheidszorguitgaven. Zelfs in 1995 werd het geschat op 99.200.000.000 dollar in één jaar [3]. Say what?! Zoveel? Ja zeker! Medische kosten, arbeidsongeschiktheid, enzovoort. Dus hier moet keihard aan gewerkt worden.
Laat de bevolking van Nederland dan wel de utopie weggooien waarin de overheid actie gaat ondernemen aan dit problematiek. Na jaren komt iedereen er steeds meer achter dat de overheid liever geld ziet op korte termijn, dan dat de gezondheid van de burgers verbetert en op lange termijn meer oplevert. Wie betaalt op korte termijn de rekeningen dan als er serieuze interventies worden genomen? Een discussie-waardig onderwerp!
Even een indicatie hoe sterk obesitas is gestegen als je kijkt naar de hoeveelheid dat er gezocht is naar het problematiek “obesitas” in publicatiedatabases [4].
Je ziet een sterke stijging vanuit de jaren ’80 en dat blijft tot de dag van vandaag stijgen. Iedereen wil wat doen aan deze problematiek, maar de aanpak verschilt immens.
Je hebt professionals die een koning zijn in marketing en diensten of producten kunnen verkopen die niet eens werken. Ook heb je professionals die goedwillig mensen willen helpen, maar supplementen van grotere maatschappijen verkopen. Deze grote bedrijven hebben veel marketing en (vaak) Amerikaanse verhalen over de werkzaamheid van het product (alles grootschalig en veel samenhorigheid). Ook heb je professionals die graag mensen willen helpen uit passie (en wetenschappelijke bevindingen), maar een draak zijn in het verkondigen van hun boodschap.
Elke professional heeft zijn eigen missie of visie om de mens te helpen, maar laat iedereen zich gaan focussen op de lange termijn. Een dieet werkt pas wanneer je dit levenslang kunt vasthouden.
Wat voor vetsoorten heb je precies?
Vaak worden alle personen met obesitas over één kam geschoren als het gaat om gezondheidsrisico’s. Natuurlijk is dat enigszins wel goed, zodat alle personen met overgewicht daadwerkelijk wat gaan doen aan hun overtollig lichaamsgewicht. Zodra je wat wil gaan doen aan het overtollig vetweefsel, dan moet het woord “afslanken” in plaats van “afvallen” meer gebruikt worden. Hieronder wordt duidelijk dat de doelstelling “gewicht kwijtraken” altijd te maken heeft met één punt: vetweefsel verminderen.
Lichaamsgewicht
Lichaamsgewicht zegt helemaal niets. Alleen dat zwaartekracht je met zoveel kilogram op de grond drukt. Met “afvallen” wordt bedoeld dat het lichaamsgewicht naar beneden gaat, maar het voornaamste doel is om overtollig vetweefsel kwijt te raken. Dat er lichaamsgewicht bij verloren gaat is een mooie bijkomstigheid. Je kunt zelfs zwaarder worden in lichaamsgewicht door veel krachttraining. Door krachttraining kan bijvoorbeeld de BMI-waarde onbetrouwbaar worden.
Hoe belangrijk is het om vetmassa te verminderen als het gaat om beweging? Vetmassa is voor je lichaam zinloos als het gaat om beweging. Het is daarin passief, waardoor te veel vetmassa overbodig is. Denk aan de belasting die de knieën (of andere gewrichten) extra mee moeten dragen. Kan je het niet voorstellen? Draag dan een rugzak met 30 kilogram aan gewichten erin en vervolg je dag.
Visceraal vet (intra-abdominaal)
Een vetsoort die rondom de organen zit. Ook wordt dit type vet het meest geassocieerd met hart- en vaatziekten. Denk aan hartklachten, -infarcten, -stilstand, hoge bloeddruk en diabetes type II [5, 6, 7, 10]. Vergeet daarbij niet dat je meteen uitgesloten bent als je geen overgewicht hebt. Visceraal vet is voor iedereen gevaarlijk [7]. Daarom zijn slanke mensen niet per definitie gezond bezig en dit wordt genoemd: thin-outside-fat-inside (TIFO). Dit betekent dat je van de buitenkant er dun uitziet, maar veel visceraal vet hebt aan de binnenkant. Dus zeg maar gedag tegen onregelmatig eten en alle Red Bulls die je per dag wegdrinkt als slank persoon!
Verder volgens onderzoek wordt visceraal vet automatisch geassocieerd aan een vettige lever dat zorgt voor bijvoorbeeld insulineresistentie [9]. Als man en vrouw dezelfde hoeveelheid visceraal vet hebben, dan maken ze dezelfde kans op deze risico’s [9].
Subcutaan (onderhuids)
Het vet dat onder de huid zit noemen wij subcutaan vet. Dit vet wordt wel gelinkt aan hart- en vaatziekten, maar in mindere mate dan visceraal vet [10]. Wanneer je een vetpercentage meet via een huidplooimeting, dan meten wij vooral subcutaan vet. Het geeft een indicatie van het algehele vetpercentage. Nadeel van zo’n huidplooimeting is dat je het niet kan gebruiken voor mensen met obesitas. Dit kan niet, omdat overtollig vetweefsel zich vastkleeft aan de huid en spier. Dan is het onmogelijk om spier, vet en huid te onderscheiden.
Mannen hebben een hogere kans op gezondheidsrisico’s
Helaas hebben mannen meer visceraal vet dan vrouwen (appelfiguur van de man). Bovendien heeft Zweden een grootschalig onderzoek gehad met 1462 vrouwen en 792 mannen, waarin bleek dat mannen vier keer zoveel kans hebben op hart- en vaatziekten [8]. Dit komt door het hogere gehalte aan visceraal vet. Bij een ander onderzoek met 458 vrouwen en 331 mannen laten de resultaten zien dat mannen in elke leeftijdsfase meer visceraal vet hebben [11]. Zelfs bij dit onderzoek [12] geven zij aan dat mannen over het algemeen een hoger visceraal vetgehalte hebben.
Hoe zit het met vetweefsel bij vrouwen?
Zoals bij “man” duidelijk werd gemaakt, hebben vrouwen minder visceraal vet. De minimale essentiële vetpercentage is in tabellen hoger bij vrouwen. Dit komt door zwangerschap en borstvoeding [65]. Ongesteldheid kan bijvoorbeeld ook verdwijnen wanneer een vrouw te laag vetpercentage heeft (oestrogeen wordt te weinig aangemaakt). Denk aan vrouwen die meedoen aan modellenwedstrijden en zoveel moeten afvallen van het modellenbureau. Of natuurlijk in ergere gevallen: anorexia. Bovendien wordt in een boek [41] aangegeven dat vrouwen na de menopauze meer vet op gaan slaan rondom de buikstreek.
Buikomtrek en betrouwbaarheid
De buikomtrek wordt veel gebruikt als meetmiddel. Deze is nog het meest waardevol voor het schatten van iemands kans op gezondheidsrisico’s met betrekking tot buikvet (visceraal vet). Althans, beter bij mannen volgens onderzoek [11].
De vijf lijfstijlpijlers van Body2Coach
Ik werk altijd met vijf leefstijlpijlers. Hieronder vallen bij mij:
- Voeding
- Omgeving
- Beweging
- Stress
- Slaapgedrag
Alle vijf de pijlers hebben te maken met leefstijl. Als je uitgaat van een mentaal gezond iemand (slaapt goed en heeft nauwelijks negatieve stress), dan is voeding en omgeving het belangrijkste om mee te beginnen met het aanpakken van obesitas.
Hieronder worden alle pijlers duidelijker:
Voeding
Energiebalans
In dit artikel zal je niet uitgebreide stukken tekst lezen over kilocalorieën in en uit, omdat ongeveer elke informatiebron over dezelfde energiebalans heeft. Wel is belangrijk om te blijven herhalen: als de energie-inname (kcal) meer is dan het energiegebruik (kcal), dan kom je aan in lichaamsgewicht. De regel geldt andersom ook als je lichaamsgewicht kwijt wil raken.
Aankomen/afvallen = energie-inname – energiebruik
Er bestaan geen wonder voedingsmiddelen die deze formule anders maakt.
De invulling van de energiebalans is interessant voor elke sporter, omdat elke sport zijn eigen behoeftes heeft. Hetzelfde geldt voor obesitas, maar wordt verderop gesproken over de macronutriënten (koolhydaten, vetten en eiwitten).
Even een indicatie hoeveel je verbrandt per uur met verschillende activiteiten:
- Krachttraining: gemiddeld 150-250 kcal per uur training (traditioneel – oefening, rust, oefening)
- Circuittraining kracht: gemiddeld 350-450 kcal per uur training (MET-waarde van 8,0)
- Cardio-training: 100 – 1000 kcal of meer per uur training (ligt aan de duur en intensiteit van de training)
Macronutriënten (koolhydraten, eiwitten, vetten)
De verdeling van macronutriënten is in principe niet extreem belangrijk, zolang je houdt aan bepaalde regels. Niemand zal adviseren om 60 en% (60% van de totale energie-inname) aan vet te nemen of 70 en% eiwit. Een ketogeen dieet (hoog in vet) zou een optie kunnen zijn om meer spierdefinitie te krijgen bij wedstrijdsporters, maar het is bij obesitas slechts tijdelijke schijn. Het lijkt te werken, maar zulke diëten vol kunnen houden is praktisch onmogelijk in deze maatschappij. Het zijn geen mensen die wedstrijden willen meedoen en de motivatie is dus ANDERS. Lukt je dit wel? Gefeliciteerd, maar grote kans dat het levenslang niet echt werkt.
Zorg ervoor dat je leert omgaan met alle voedingsstoffen en laat je niet gek maken door milluscule stofjes die zogenaamd “dikker” maken. Denk aan: aspartaam of glutamine.
Koolhydraten (4 kcal per 1 gram)
Zoals jullie regelmatig op het Internet hebben gelezen, zijn koolhydraten energiestoffen voor jouw lichaam. De hoeveelheid koolhydraten per dag wordt bepaald aan de hand van het sport-/beweeggedrag. Hoe meer je beweegt en hoe intensiever, hoe meer koolhydraten je lichaam nodig heeft. Denk aan bijvoorbeeld cardio, dan kan je lichaam koolhydraten goed gebruiken voor het herstel van de energievoorraad (glycogeen – wordt gevuld door glucose die het snelst wordt gemaakt door koolhydraten) [20]. Deze energievoorraad wordt grotendeels aangesproken door cardio, omdat het repeterende bewegingen zijn.
Daarnaast bij traditionele/conventionele krachttraining (oefening, rust, oefening – 6 tot 9 sets per spiergroep) maak je maar zo’n 36-39% van je glycogeen op [13, 14]. Dus koolhydraten zijn minder belangrijk voor herstel, want wat doet de rest van je energievoorraad dan? Juist, die helpen met het herstel van beschadigd spierweefsel.
Hier geldt ook dat een circuittraining (3 oefeningen of meer in één ronde/set) ervoor zorgt dat je lichaam langer actief is dan een conventionele krachttraining, waardoor je meer koolhydraten verbrandt. Dus de keuze voor een methodiek is belangrijk voor je bijpassende voedingsstrategie. Alleen… is de sportmethodiek belangrijker dan het gewicht? Lijkt mij niet als het doel “afslanken” is, dus zoek iets waar je als persoon je goed bij voelt en verandering mee ziet. Zorg dus voor voldoende energie bij een sportmoment en dat iemand zich niet futloos, duizelig of misselijk gaat voelen.
Eiwitten (4 kcal per 1 gram)
Eiwit zijn de herstel- en bouwstoffen voor het lichaam. Hierbij is de doelstelling van een persoon met obesitas ook belangrijk. Als ze namelijk kiezen voor krachttraining, dan is een hogere eiwit-inname belangrijk in verband met de hoeveelheid spierschade.
Daarnaast heeft eiwit een hoog thermogenetisch effect (TEF waarde). Dit is de energie dat het lichaam nodig heeft voor het verwerken van een voedingsstof. Bij een hoge eiwitinname kan je verwachten dat je zo’n 100-150 kcal per dag aan kcal verbrandt. Of dit per definitie op deze hoogte kan worden vastgesteld, is niet duidelijk.
Zo heeft volgens deze bron dierlijk eiwit 2% meer kcal-gebruik door de TEF waarde ten opzichte van soja eiwit (plantaardig eiwit) [2].
Ook geeft deze bron (klik hier) aan dat de TEF waarde van eiwit drie keer zo hoog is dan een koolhydraat, terwijl vet weinig deed op het gebied van TEF.
Heeft het zin om naar zulke kleine aspecten kijken? Nee, dat heeft het niet. Let meer op de energiebalans! Dat een berekening van een persoon zijn/haar energiebalans niet 100% accuraat is, wil niet zeggen dat de theorie achter de energiebalans onjuist is.
Vetten (9 kcal per 1 gram)
Het macronutriënt “vet” heeft vele functies, waaronder het aanmaken van hormonen, cholesterol en de opname van vitamine A, D, E en K.
Zoals het aantal kilocalorieën per gram al aangeeft, zijn vetten calorierijk. Dit betekent dat je vetten meer moet matigen ten opzichte van koolhydraten en eiwitten, maar dat ligt ook weer aan je doelstelling. Echter wil dit niet zeggen dat je vetten volledig moet vermijden, want de essentiële vetzuren (die je lichaam zelf niet aanmaakt) zijn dus noodzakelijk voor de opname van de eerder genoemde vitaminen. Zorg ervoor dat je altijd minimaal 20 en% aan vet nuttigt in de vorm van onverzadigde en meervoudig onverzadigde vetten.
Helaas is er te weinig bekend over verzadigd vet, waardoor er nu vooral preventief wordt gereageerd vanuit verschillende bronnen (denk aan het Voedingscentrum). Het voedingscentrum raadt 10 en% verzadigd vet aan, zodat zij zeker weten dat het geen gezondheidsrisico’s met zich meebrengt. In het kader van zekerheid wordt deze preventieve maatregel als advies aangehouden en dat is geen enkel probleem. Wees niet te bang voor verzadigde vetten, want die maken je niet zwaarder in lichaamsgewicht. Dat doet een positieve energiebalans.
Wel moet je voorzichtig zijn met transvetten (natuurlijk of gefabriceerd) die in koekjes bijvoorbeeld (zie hier de beschrijving) worden gebruikt om de koekjes als geheel te maken. Deze transvetten moet je zoveel mogelijk vermijden. Je ziet waarschijnlijk ook geen gezondheidsprofessional chocolate chip cookies aanraden in een leefstijlverandering, ondanks de hemelse smaak.
Gezond eten of gezond eetgedrag?
Gezond eten bestaat niet, maar gezond eetgedrag wel. Wanneer jij frites wil eten is dat geen enkel probleem. Dit is in principe redelijk gezond eetgedrag, zolang je de hoeveelheid beperkt. Echter wanneer je twee keer XL frites en drie kroketten bestelt voor jezelf, dan wordt dit meteen bestempeld als ongezond eetgedrag. Dus de mate van een voedingsmiddel bepaalt of je gezond eetgedrag hebt of niet. Het “vreetfestijn” van tegenwoordig in deze maatschappij is zeer ongezond te noemen. Teveel, waardoor het lichaamsgewicht toeneemt. Of te wel: wij kennen geen maat meer.
Doe je dit met eiwitshakes, groene shakes, frites, volkoren brood of broodjes bapao? Voor het aankomen of afvallen in lichaamsgewicht maakt het niet veel uit, maar heeft elk product wel zijn eigen verdeling van voedingsstoffen. Deze verdeling in voedingsstoffen moet een andere naam krijgen, namelijk: voedzaamheid.
Voedzaamheid?
Als er gepraat wordt over voeding, kan er eigenlijk beter een verdeling gemaakt worden tussen voedzame en minder voedzame voedingsmiddelen (lees hier mijn artikel: “Schei toch uit met “gezond” eten”). Zo wordt de voedzaamheid bepaald aan de hand van de aanwezigheid van verschillende voedingsstoffen:
- Vezels of geen vezels
- Eenvoudige (suiker) of complexe koolhydraten (zetmeel)
- Kwalitatieve of minder-kwalitatieve eiwitten
- Verzadigd, onverzadigd en meervoudig onverzadigd vet
Ze zeggen dat complexe koolhydraten, vet, vezels en eiwit (in combinatie is dat ook weer anders) verzadigen (vullend effect).
Helaas is verzadiging geen simpel verhaal, zoals deze zin hiervoor beschrijft. Het heeft ook te maken met neurologie. Hierover meer bij “psychoneurobiologische factoren”. Als iets op is, dan stopt men pas met eten. Denk aan een bak van je favoriete eten en in geen enkele mogelijkheid dat je een restje laat staan.
Als er wel een verzadiging optreedt, ga je minder overeten met voedingsmiddelen. Logisch eigenlijk, hè?
Eiwitrijk dieet als oplossing voor obesitas?
Eiwitrijk patroon v.s. traditioneel patroon
Een eiwitrijk dieet bestaat vaak uit meer dan 30 en% eiwit en meer dan 25 en% vet. Vaak zie je zelfs 40 en% eiwit, 20 en% koolhydraten, 40 en% vet.
Daartegenover staat een traditioneel patroon, waarin wordt aangehouden: 15 en% eiwit, 55-60 en% koolhydraten en 25-30 en% vet.
Toch zijn er alsnog onderzoeken dat steeds bezig zijn met het kijken naar eiwitrijke diëten en afslanken. Vaak zijn dit tijdelijke resultaten. Kijk maar: in dit onderzoek [15] lijkt het als een HP-groep (hoog in proteïne – 30 en% eiwit, 45 en% koolhydraten, 25 en% vet) dieet ervoor zorgt dat je 1,4 kilogram meer afvalt na 12 weken. Echter heeft de HP-groep en de NP-groep (normale hoeveelheid proteïne – 18 en% eiwit, 57 en% koolhydraten, 25 en% vet) evenveel vet verloren, namelijk 6,6 kilogram in totaal. Dit, terwijl de HP-groep 9,5 kg en de NP-groep 8,1 kg aan totaal lichaamsgewicht is verloren. Dus de HP-groep heeft een voordeel dat het door minder koolhydraten ook meer vocht verliest (2,7 ml per 1 gram koolhydraat). Op de weegschaal fantastisch, maar wanneer je weer koolhydraten gaat eten komt het vocht ook er weer bij! Het kan demotiverend werken, maar tegelijkertijd ook drastische gevolgen veroorzaken, zoals: heel weinig gaan eten om toch maar gewicht kwijt te raken. Hierdoor heb je de kans op flinke tekorten met voedingsstoffen.
Verzadiging eiwitrijk dieet?
Veel mensen geven aan dat veel eiwit ervoor zorgt dat je verzadigd raakt. Echter is voedingsinname zo complex dat het nog niet helemaal duidelijk is (later hierover meer). Dat je niet vol raakt van een boterham met jam is zelfs niet duidelijk. Is jam voedzaam? Nee. De keuze voor een boterham met jam is echter niet “gevaarlijk”, omdat er suiker in zit.
Vooral vezels, eiwit, complexe koolhydraten en een klein beetje vet. Let op de basis en ga niet teveel bezig als voedingsdeskundige!
Suiker slecht?
Bovendien zeggen ze dat suiker ervoor zorgt dat je meer gaat eten, maar dat komt niet door een suikerverslaving [21] – rat-onderzoeken zeggen soms van wel, maar ik heb liever mensen. Mensen kunnen vertellen wat er gebeurt en ratten niet. De causaliteit (oorzaak-gevolg) kan nooit worden ontdekt bij rat-onderzoeken.
Ze zeggen dat suiker niet verzadigt, maar zoals je in het hoofdstuk “hersenfunctie en signalen” zult lezen heeft het ook te maken met voedingsmiddelen die wij lekker vinden. Als je een voedingsmiddel lekker vindt, dan eet je vaak automatisch meer dan je nodig hebt.
Voedzame en minder voedzame voedingsmiddelen
Verder heb ik een korte voorbeeldlijst met voedzame voedingsmiddelen gemaakt:
- Brinta met magere/halfvolle melk
- Havermout met magere kwark
- Walnoten met magere kwark en honing
- Zilvervlies rijst met kipfilet, groenten en een beetje saus
- Volkoren boterham met kipfilet/rosbief/rookvlees/beenham
- Volkoren wrap met tonijn en groenten
Ziet er allemaal prima uit, toch? Natuurlijk 1 kilogram magere kwark en een hele zak walnoten + een halve pot honing is weer ongezond eetgedrag. De mate bepaalt dus of het ongezond eetgedrag is of niet.
Uiteraard ook een lijst met minder-voedzame voedingsmiddelen:
- Cola
- M&M’s
- Witbrood met jam
- Crackers met jam/chocopasta/hagelslag
- Cornflakes met magere melk
Deze bovenstaande lijsten geven weer welke keuzes verstandiger zijn (voedzaamheid). Dit wil niet zeggen dat je minder-voedzame of minder voedzame voedingsmiddelen per definitie moet afschaffen. Beperk deze voedingsmiddelen alleen meer. Waarom? Het nadeel van minder-voedzame voedingsmiddelen is, dat je voedingsmiddelen uitkiest die je lekker vindt. Mensen prefereren voedingsmiddelen met een hoge energiedichtheid (vet), waardoor je door blijft eten (zie hoofdstuk: “hersenfunctie en signalen”).
Wat doet vocht met afslanken?
Wij mensen bestaan voor zo’n 60% uit water. Deze hoeveelheid moet zoveel mogelijk in balans worden gehouden. Dus: het in stand houden van de vochtbalans. Waarom is dat eigenlijk zo belangrijk?
Vochtbalans
De vochtbalans wordt bepaald door twee punten: vochtinname en vochtuitscheiding.
Onder vochtinname vallen alle dranken die je drinkt, maar ook vast voedsel zit vocht in.
Daartegenover staat de uitscheiding van vocht. Hieronder valt urineren, feces (grote boodschap), en zweet.
De inname van vocht heeft sterke invloed op de uitscheiding, omdat je bij een hogere inname vaker naar het toilet moet. Hierbij moet je ook denken aan alcohol, waardoor je vaker naar het toilet gaat.
Uitdroging of niet?
Je kunt makkelijk bekijken of je bent uitgedroogd (gedehydreerd) of niet (gehydreerd). Als je urine donkergeel is, dan drink je te weinig vocht. Is je urine transparant of lichtgeel, dan drink je voldoende.
Zelfs is er een methode om bij erge uitdroging een klein velletje huid te pakken en te kijken hoe deze terugvalt. Als de huid langzaam teruggaat en putjes ontstaan, dan is dit een teken van uitdroging.
Hersenfunctie en vochttekort
Het blijkt dat je alertheid, concentratie en lange termijn geheugen achteruit gaat als je al 1% vochttekort hebt [15, 16, 17, 18]. Dit betekent dus dat wanneer je 1 kilogram verliest en je weegt 100 kg, dan ben je 1% verloren. Vergis je niet, want dit kan snel gaan en vooral bij warm weer!
Hartfunctie en vochttekort
Jouw bloed bestaat een groot deel uit water en natuurlijk rode bloedcellen. Wanneer je weinig drinkt, zal je bloed ook dikker worden. Hoe dikker het bloed, hoe harder je hart moet werken om het bloed rondgepompt te krijgen. Je ziet ook dat je hartslagen per minuut omhoog gaan.
Voorbeeld: na een avond flink stappen met alcohol en weinig water gedronken te hebben –> de volgende ochtend een tong als schuurpapier en je hartslag gaat tekeer. Dus kan je zeggen dat je bent uitgedroogd.
Met sport blijkt het ook niet helemaal duidelijk dat vochttekort voor duursporters een probleem is [40]. Vaak bij 1% uitdroging (denk aan zweetverlies) begint het duurvermogen al te dalen. Althans dat wordt gezegd. Het zuurstof (in het bloed) kan namelijk niet snel genoeg rondgepompt worden. Dus logisch gevolg lijkt dat je extra vermoeid raakt, maar hier wordt concentratie niet in meegenomen.
Deze tweestrijd kan te maken hebben met dezelfde reden als verzadiging van eiwitten, koolhydraten en/of vetten (psychologie/biologie).
Vocht, suikerdrankjes en suiker-vervangende drankjes
Nog steeds gaat het rond dat suiker-vervangende drankjes (met – kunstmatige – zoetstof) een impact maken op jouw energie-inname (dat je hersenen voor de gek wordt gehouden, enzovoort). Volgens een review [19] zijn suiker-vervangende drankjes een prima alternatief. Dus geen reden tot zorgen als je één of twee glaasjes cola light drinkt. Uiteraard zijn er betere opties, maar je gaat er niet eerder dood aan en het werkt voor gewichtsverlies.
Vergeet niet dat bronnen die claimen dat zoetstof gevaarlijk is, vaak niet eens een grenswaarde kunnen aangeven. Alles heeft een dosering wat niet goed is. Denk aan soorten gif. Sommige zijn in een hele kleine dosis gevaarlijk, terwijl andere soorten gif pas in grotere dosis gevaarlijk worden.
Gelukkig geven de bronnen die genuanceerd denken over zoetstof wel een percentage aan gifstoffen die je binnen zou krijgen bij bijvoorbeeld cola light. Dan moet je wel heel veel cola light drinken per dag.
Zelfs wordt er bij dezelfde review wordt ook gezegd dat suikerhoudende drankjes de energie-inname met 7,8% verhogen. De reden hiervoor is logisch, want je drinkt vaak naast een maaltijd. Vloeibare voedingsmiddelen neem je sneller op door een snellere maaglediging (hoe snel je maag geleegd wordt), dus drink je met normale cola zo’n 100-150 kcal bij een maaltijd erbij zonder dat je erbij nadenkt. Kan je die kilocalorieën niet beter besteden?
Welk invloed heeft zoetstof op afvallen?
Even wat dwaalsporen, omdat drinken (vocht) vaak gepaard gaat met vragen over bijvoorbeeld cola light en zoetstof. Mocht je alsnog twijfelen over cola light of aspartaam (zoetstof)? Dan raad ik je aan om de volgende bronnen te lezen.
- http://fitzonderfabels.nl/article/aspartaam/
- http://jelmerdeboer.nl/aspartaam-duivel-of-superfood/ (even wat cynisme)
- http://bayesianbodybuilding.com/artificial-sweeteners-bitter-controversy/ (Engels)
Extraatje..:
- https://www.iamafoodie.nl/feit-fabel-light-minder-calorieen/ (verhoudingen light producten)
Over punt 4 moet een kanttekening worden geplaatst, omdat hierin heel duidelijk naar voren komt dat de portiegrootte uitmaakt wanneer je kijkt naar light producten (hééé! Dat is toevallig dat het hierboven ongeveer 10.000 keer ook is genoemd!).
Het geeft je wel een goede weergave hoe slim fabrikanten zijn met bijvoorbeeld pindakaas. Bijna dezelfde kcal, maar vet vervangen door suiker.
Aspartaam, bloedsuikerspiegel en trekgevoelens
Mocht je gek worden gemaakt met het feit dat aspartaam je bloedsuikerspiegel laat stijgen, dan raad ik je aan om deze bronnen te bekijken: [24, 25]. Hierin laten ze zien dat aspartaam geen effect heeft op het insuline. Dus je hersenen worden niet voor de gek gehouden. Eerder word je zelf voor de gek gehouden door goeroe’s.
Daarbij vergroot aspartaam ook niet je trekgevoelens [26, 27].
Aspartaam en bangmakerij
Soms is het hopeloos als je berichten ziet die weergeven dat aspartaam dodelijk is en je ten alle tijden moet vermijden. Vaak worden dit soort artikelen geplaatst door mensen die zelf bang zijn gemaakt of een artikel zien wat aspartaam bij extreme hoeveelheden kan aanrichten (vaak staat er niet eens een maximale grensdosering bij, zoals eerder is beschreven). Dat is net alsof je zegt: “water is hartstikke slecht voor je, want water is dodelijk als je het met grote hoeveelheden tegelijk drinkt”. Watervergiftiging is zeldzaam, maar het kan wel! Dus laten wij dan ook geen water meer drinken of plaatsen we hier nog enige nuance bij?
Bekijk anders het verhaal eens van M. Katan over aspartaam:
http://www.mkatan.nl/columns-en-kranten/nrc-columns/490-22-06-2013-zoete-verhaaltjes.html
Deze dwaalsporen even benadrukt en het is weer tijd om terug te gaan naar vochtinname en gewichtsverlies:
Vochtbalans bij gewichtsverlies
Het is dus belangrijk om je vochtbalans op peil te houden. Een verslechterde hersenfunctie en het hart dat harder moet pompen is geen aanrader tijdens een leefstijlverandering. Dit komt, omdat je lichaam al (positieve) stress krijgt van een hypocalorisch (minder energie-inname dan energiegebruik) dieet.
Je valt wel af in een calorietekort. Echter als cognitieve functies achteruit gaan en je dan ook minder energie-inname toepast, dan zal je “fitheidsgevoel” veel slechter zijn – laat staan gevaarlijk met bijvoorbeeld autorijden.
Bij personen met afslankwensen zie je regelmatig dat vochttekort een probleem vormt. De vermoeidheidsverschijnselen maken mensen meer prikkelbaar en minder gemotiveerd.
Vochtbalans en gewenning/drinkgedrag
Heel vaak hoor je mensen roepen dat ze geen dorst hebben en daarom niets drinken. Jouw lichaam went heel snel aan nieuwe situaties. Daarom is het menselijk lichaam zo complex en mooi.
Dus als jij weinig drinkt, dan leert je lichaam om te gaan met zo weinig vocht. Dit wil niet zeggen dat het goed is dat je niet veel drinkt. Uitdroging is een zeer serieus onderwerp waar je niet te licht over moet denken als sporter en niet-sporter. Zoals eerder werd gezegd is dorst niet perse een reden dat je sportprestaties achteruit gaan (althans één experiment is er genoemd), maar wel (tijdelijk) cognitief. Motivatie is toch echt een onderdeel van jouw cognitieve functie. Dit ligt dus puur individueel gericht hoe je daarmee omgaat.
Daarnaast is het ook goed om de afvalstoffen in de urine minder geconcentreerd te maken (minder geel). Veel doktoren wijzen ook geregeld op blaasontstekingen.
Dus eigenlijk is elk persoon anders en reageert anders op stofjes en daarom heb je nooit een richtlijn dat voor iedereen geldt. Kijk maar naar verzadiging en de neurobiologie wat daarbij komt kijken.
Advies
Drink gewoon gemiddeld 2 liter per dag of meer als je sport en dan weet je in ieder geval dat je goed zit. Mocht je daarbij niet prettig voelen, dan pas je dit aan naar net iets minder. Het is vaak per individu anders, want de één zweet harder dan de ander.
Let op: vochtbehoefte is dus voor iedereen anders, maar betekent niet dat één persoon ineens 500 ml nodig heeft en een ander 3000 ml. Het 2 liter verhaal is gebaseerd op een gemiddelde! Het is een voorzorgsmaatregel om voldoende te drinken. Overtollige waterinname plas je toch uit.
Wat kost het je nu eigenlijk? Tijdsinvestering…
De hersenfunctie en signalen bij afslanken
Een moeilijk onderwerp, omdat er veel onbekend is. Hieronder zal je sommige begrippen beter leren begrijpen.
Eigenlijk komen de “hongersignalen” vanaf de hersenen (aanmaak van ghreline bijvoorbeeld). Zo wordt eetlust geactiveerd door de hippocampus (het “zeepaardje” in de hersenen), maar alsnog is er veel onbekend waarom je steeds meer gaat eten.
Zo bestaat substantieverslaving (suikerverslaving, eiwitverslaving, enzovoort) bij voeding niet, omdat vaak dopamine (genotshormoon) wordt verhoogd bij producten die je lekker vindt en niet perse bij suikerrijke voedingsmiddelen. Het is lastig te onderscheiden, omdat wij de laatste jaren niets anders dan suiker eten.
Verslaving ontstaat bij bijvoorbeeld heroïne, omdat er langdurig endorfine wordt aangemaakt (heroïne wordt morfine in je lichaam). Normaal breekt endorfine snel af, maar door heroïnegebruik niet. Door regelmatig gebruik kan er verslaving optreden om dat “fijne” gevoel terug te krijgen.
Wel zijn er steeds meer signalen dat er een eetverslaving kan bestaan, omdat je steeds meer wil eten wat je lekker vindt door bepaalde signalen in de hersenen. Uiteraard is dit nog een onderwerp waar veel onderzoek gedaan moet worden.
Onderdrukking trek?
Zo heeft verder deze bron (klik hier) over de laterale hypothalamus die de honger kan onderdrukken als deze geactiveerd wordt. Daarnaast kun je een verkorte vraag en antwoord lezen bij mijn partners.
Echter welk deel activeert dan de laterale hypothalamus, zodat wij minder gaan eten?
In diezelfde bron hebben bepaalde onderzoekers een gedeelte ontdekt welke de laterale hypothalamus juist onderdrukt (je wil meer eten). Dit gebied noemen ze de BNST (bed nucleus van de stria terminales). Dat gebied wordt meer actief wanneer je geniet van het eten en daardoor je eetgedrag wordt beïnvloed.
Bovendien geven Finse onderzoekers (klik hier) aan dat de basale Ganglia (beloning) een verhoogd glucosemetabolisme hadden bij mensen met overgewicht en dus meer actief waren. Dit, terwijl tegelijkertijd de frontale kwab (voor gedragscontrole – eetgedrag) minder actief was. Zal dit (één van) de oorzaak zijn dat mensen met overgewicht steeds meer blijven eten? De onderzoekssubjecten (mensen dus…) in het Finse onderzoek reageerden in dat gebied wel anders ten opzichte van de controlegroep op een afbeelding met etenswaren erop.
Dopamine en Obesitas
Dopamine is een stof wat in de basale Ganglia (kernen rondom hersenen – regelen beweging, motivatie en beloning) wordt aangemaakt en volgens onderzoekers wordt dit doorgestuurd naar het frontale hersengebied [30]. Dopamine staat voor genot, welzijn en plezier.
Dopamine wordt veelal aangemaakt bij het gebruik van (hard)drugs. Zoals bij bijvoorbeeld heroïne en alcohol. Bij XTC wordt juist meer serotonine (gelukzalig gevoel, verbondenheid met anderen) aangemaakt. Daarom is XTC niet verslavend, maar alcohol en heroïne wel.
Het blijkt uit onderzoek [31, 32, 33, 34] dat mensen met obesitas een lagere dopamine-aanmaak hebben, waardoor ze dit gaan zoeken in eten. De aanmaak van dopamine verschilt per persoon en hoe de ervaring is met het voedingsmiddel (mate van plezier). Hier zie je dat hoeveelheid afscheiding van dopamine reageert op iets wat jij als individu lekker vindt.
Dit bovenstaand verhaal suggereert dat eetverslaving wel bestaat. Het gaat om de mate waarin iemand plezier of genot beleefd bij een voedingsmiddel. Dat is in vele gevallen voeding met een hoge densiteit (energiedichtheid), zoals combinaties van vette voedingsmiddelen [35]. Aangezien wij vaak suikerrijk eten, worden deze toegevoegd aan de voedingsmiddelen. Dit stimuleert het plezierig gevoel dat je ervaart met het eten.
Als je dit bovenstaand verhaal leest, dan denk je meteen dat dopamine (in moeilijke termen: D2 receptoren – genoemd: Taq1A ) een belangrijke rol speelt om obesitas tegen te gaan. Helaas hebben zij in een meta-analyse (extreem goede bewijslast) gekeken naar deze receptoren en obesitas [63]. Het blijkt inderdaad bepaalde mensen een lagere dopaminegehalte hebben, maar in 33 studies kwamen ze tot de conclusie dat het geen eetverslaving veroorzaakt. Ze noemen vooral eetgedrag als belangrijkste factor in plaats van een eetverslaving. Dat verklaart ook dat heroïne endorfine aanmaakt en wel verslavend kan worden. Dit wordt niet door voeding aangemaakt.
Psychoneurobiologische functies
Allereerst een poging om te beginnen met een definitie van “psychoneurobiologie” [73]:
Psychoneurobiology is a scientific discipline which, based on hypotheses of psychologicl organization, means to document – in compliance with clinical observation, neuropsychology and biology – the general functioning of the psyche, mnesic phenomena, the mind and the emotions, as well as psychological and somatic malfunctions
Je weet dat advocaten lange zinnen kunnen maken, maar deze spant absoluut de kroon! Hieronder even de moeilijke vaktermen kort en krachtig uitgelegd.
mnesic phenomena = heeft maken met het geheugen
Somatic malfunctions = somatisch zenuwstelsel dat te maken heeft met waarneming (controleert interacties met de buitenwereld) –> sensorische neuronen (gevoelszenuw) vanuit de waarnemingsorganen (ogen, oren, neus, huid)
Dus: psychologie en biologie fuseren tot één complex begrip. Gelukkig, want al een lange tijd werd bijvoorbeeld emotie-eten te simpel gezien als feit dat mensen te “zwak” waren om ongezond eetgedrag te voorkomen. Vaak door de juiste coachingsmomenten of in samenwerking met een ervaren psycholoog kan je veel oplossen als het gaat om obesitas. Nogmaals: zodra het te diep gaat met betrekking tot psychologie, dan is het verstandig om een cliënt door te sturen naar een andere professional. Dit kan een leermoment zijn voor elke professional, omdat je vanuit je hart altijd iemand wil helpen..
Verzadiging
Het wordt steeds meer duidelijk dat verzadiging niet wordt bepaald door alleen tastbare zaken, zoals voedingsmiddelen. De signalen vanuit de hersenen (hypothalamus) bepalen de hoeveelheid dat je nodig hebt op een bepaald moment.
Zo is leptine bedoeld om een signaal aan de hersenen te geven dat het lichaam is verzadigd. Dit hormoon wordt ontvangen door receptoren. Het blijkt zelfs dat de leptinereceptoren overspoeld kunnen worden, waardoor verzadiging niet of later intreedt [41]. Een soort leptineresistentie.
Daartegenover staat Ghreline die juist trekgevoelens stimuleert. Normaal daalt de Ghreline-waarde in het bloed na een maaltijd, maar is dit bij mensen met obesitas minder het geval. Hierdoor eten deze personen meer dan het lichaam nodig heeft [41].
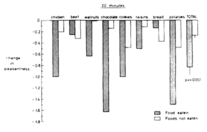
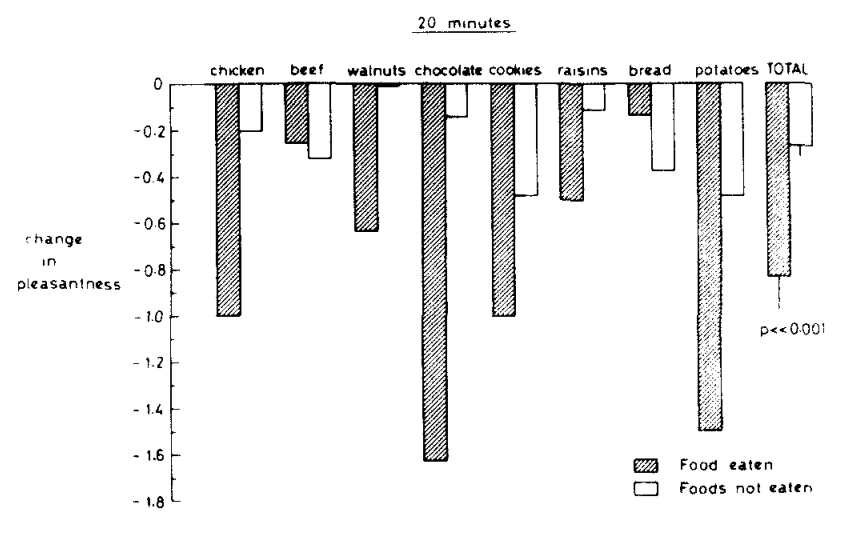
Denk daarnaast ook aan het beloningssysteem welke ontstaat met voeding met je favoriete eten. Dit onderzoek zegt dat verzadiging verschilt per eten wat gegeten wordt. Althans in dit onderzoek zijn er alleen mannen bij betrokken [43]. Zelfs wordt er in dit onderzoek gekeken naar de aangenaamheid (hoe graag je het nog wil) van voedingsmiddelen bij inname en zonder inname:
In dit plaatje komt terug dat de aangenaamheid van een voedingsmiddel drastisch verlaagt, zodra het gegeten is [43]. Dus eet je hetzelfde minder snel de maaltijd erna.
Daarnaast kan hyperfagie (abnormale eetlust) ontstaan, omdat je door emotionele aspecten (stress, eenzaamheid, verdriet, enz.) meer energie gaat eten/drinken dan dat je lichaam werkelijk nodig heeft [22, 23].
Ook, zoals eerder gezegd, hebben voedingsmiddelen een andere neurologische werking op mensen met obesitas. Zo hebben suiker-, zout- en energierijke voedingsmiddelen een andere geur en uitstraling voor hen. Dit heeft invloed op het beloningssysteem van de mensen met obesitas [28]. Hoe een geur en uitstraling zich uitwerkt op obesitas is misschien voor een andere keer :-).
Bodemdrift en verzadiging
Dit is de neiging om tot de bodem door te eten, omdat je dan pas vol zit.
Eigenlijk is het vreemd als het wiel nog een keer uitgevonden moet worden. Hier een betrouwbare bron, waarin de bron aangeeft dat bodemdrift een probleem is vanwege externe feedback.
http://chivo.nl/verzadiging-bodemdrift/
Bedankt Chivo opleidingen voor dit duidelijke en korte verhaal, waarin duidelijk naar voren komt dat de bodem een signaal kan zijn dat iemand vol is. Uiteraard blijft het vrij onbekende wereld.
De bekende leertheorieën en afleren van ongewenste gewoontes?
Zo schrijft dit boek [41] dat de “klassieke conditionering” een leertheorie is welke je hebt aangeleerd, waarbij eetlust wordt opgewekt door je favoriete eten dat je ruikt. Het wordt nog meer gestimuleerd wanneer het vervolgens op bijvoorbeeld televisie wordt weergegeven.
Vervolgens beschrijft het boek de tweede leertheorie: “operante conditionering”. Hier zorgt een impuls voor een bepaalde reactie, waardoor consequenties optreden. Dit kan een beloning of straf zijn. Denk aan veel minder-voedzame voedingsmiddelen die veel genot opleveren (beloning), maar daardoor kan op lange termijn een straf als consequentie optreden (vermoeidheid, teveel calorie-inname en overgewicht, diabetes type II, enzovoort) [41].
Hieronder een citaat welke zeker toepasbaar is in deze situatie:
[quote align=”center” color=”#999999″]Leer te leven met de keuzes die je maakt, omdat de positieve en/of negatieve consequenties altijd volgen nadat je een keuze hebt gemaakt – Freek Verbeet[/quote]
Het voordeel dat een leertheorie geeft is, dat het aangeleerd is. Dit betekent dat het ook mogelijk is om het niet meer te doen. Alleen iets afleren kost veel moeite en sturing. Met het afleren kan een professional de sleutel tot succes zijn.
Diepliggende oorzaak bij obesitas?
Obesitas en overeten zijn geen aspecten welke niet altijd alleen met voeding en meer bewegen op te lossen valt. Denk bijvoorbeeld aan het feit dat een professional een aangepast voedingspatroon maakt voor een cliënt en dat diegene drie keer komt sporten bij die professional. Alsnog valt diegene niet af. Dat komt niet door de middelen, namelijk: sport en voeding. Wel komt het door onvoldoende gedragsverandering. Dit kan ook buitenom voeding en sport liggen, namelijk: stress, slaapgebrek, afwijkingen (zeldzaam), medicijnen, enzovoort.
Een gevolg van obesitas heeft vaak een dieper liggende oorzaak [22]. Wat is de werkelijke reden dat mensen overeten op een bepaald moment? Bewustwording speelt een belangrijke rol in een oplossing, maar dat is slechts een kleine oplossing.
Wat kan een psycholoog toevoegen aan het obesitasprobleem?
Een zeer ervaren psycholoog op dit gebied zou mogelijk een stevige rol kunnen spelen bij het problematiek omtrent obesitas. Veelal gaat het om eetgedrag veranderen en de manier waarop er met eten wordt omgegaan.
Een team van een psycholoog, (trainer) en voedingsdeskundige kan veel resultaat opleveren voor iemand met obesitas.
Her-classificeren van de term “obesitas”
Zo wordt in deze bron [29] aangegeven dat het waarschijnlijk verstandig is om obesitas te her-classificeren naar een neurologisch probleem (hersengebied) in plaats van een metabolisch (stofwisseling) probleem. Als je terugleest in deze blog, dan ben je waarschijnlijk zelf ook meer geneigd om de obesitasepidemie te her-classificeren.
Omgeving: sociale-psychoneurobiologische factoren
Dit is een extreem complex en groot onderwerp welke wordt aangekaart. Hieronder wordt de omgeving besproken, maar ook fysiologische (lichamelijk), psychologische factoren (mentaal) en medicatie. Aangezien hierboven al fysiologische en psychologische factoren worden beschreven, zal hieronder meer nadruk liggen op de omgevingsfactoren.
Punt drie en vier zullen niet worden besproken, omdat medicatie inderdaad vocht kan laten toenemen en de hoeveelheid verschilt per individu. Daarnaast zijn de psychologische factoren zeer uitgebreid om hier te bespreken (stress en slaap worden wel besproken).
In deze bron [22] onderscheiden ze dit in vier categorieën om het wat duidelijker te maken:
- Sociale-culturele factoren (omgeving!)
- Biomedische of fysiologische factoren (homeostase)
- Psychologische (hedonistische) factoren
- Medicatie
1. Sociale-culturele factoren
Dit zijn alle culturele aspecten, zoals: overtuiging, tradities, gewoonten en de aanwezigheid van bepaalde voedingsmiddelen. Zo heeft marketing uiteraard ook een belangrijke rol in het eetgedrag van een mens. Wanneer een persoon verhuist naar een omgeving met veel fast food en minder-voedzame voedingsmiddelen, dan is die persoon ook meer geneigd om zulke voedingsmiddelen tot zich te nemen. Je wordt er elke dag mee geconfronteerd. Denk aan een moment dat je de supermarkt ingaat als je trek hebt. Dan lijken de chocoladerepen toch net wat lekkerder dan de verse broccoli bij de groente-afdeling.
Vergeet daarbij ook niet de sociale activiteiten [44], zoals: uitgaan, uit eten gaan, verjaardagen, barbecues, enzovoort. Dit veroorzaakt vaak een overdosis aan kilocalorieën op een dag (1200-1500 kcal is normaal). Deze overdosis komt vaak, omdat er grote schalen met veel voedingsmiddelen klaarliggen om opgegeten te worden. Denk hierbij weer aan de mentaliteit: “ach het moet op, dus dan doe ik het wel!” (bodemdrift). Hoe vaak ben jij wel niet met pijn in de buik weggegaan bij een gezellige barbecue of wanneer je uit eten was?
Denk verder ook aan variatie aan voedingsmiddelen die klaarliggen bij een verjaardagsfeest. Hoe meer keuzes, hoe meer je gaat proberen. Dit zie je ook bij tapas-restaurants. Je eet vaak veel meer kleine hapjes, maar kleine beetjes maken een groot geheel!
Verder geeft onderzoek [22] aan dat mensen uit de lagere klassen minder toegang hebben tot voedzame voedingsmiddelen, waardoor ze uiteindelijk meer ongezond eetgedrag vertonen. Het kiezen voor makkelijke en goedkope voedingsmiddelen is dan aantrekkelijker.
Bovendien speelt de aanwezige kennis omtrent voedzame of minder-voedzame voedingsmiddelen ook een kleine rol in het aanpakken van overgewicht. Echter blijkt dit in de praktijk lastig te zijn, omdat mensen bepaalde aspecten van gezond eetgedrag moeten begrijpen. Gezondheid is niets tastbaars en meeste nemen pas actie wanneer er iets ergs is gebeurd: hartaanval, chronische voedingsstoffentekort, knieslijtage, enzovoort.
Hieronder twee grafieken over opleidingsniveau en overgewicht [66, 67]. De eerste geeft de overgewichtcijfers aan in combinatie met opleidingsniveau. Vervolgens is de tweede grafiek ook nog een onderscheid in leeftijdscategorie
– Sociale rollen en obesitas
Deze uitgebreide bron [44] geeft aan dat zelfs bronnen hebben gekeken naar gehuwd of ongehuwde status van een persoon. Hierin geven zij aan dat de relatie tussen gewicht en gehuwd/ongehuwd tegenstrijdig is (ene onderzoek geeft aan dat het wel invloed op elkaar heeft en het andere weer niet). Wel kunnen wij met zekerheid zeggen dat een man en vrouw aankomt in lichaamsgewicht als diegene getrouwd is [44]. Ook vice versa (gewichtsverlies als iemand gaat scheiden).
Zo relateren ze hier (wel met weinig data) dat werk met veel verantwoordelijkheid ook mensen laat toenemen in gewicht [44]. Ook bij deze bron [22].
– Etnische en culturele factoren met obesitas
Dit is een interessant gedeelte, omdat ze in de VS onderzoek hebben gedaan naar etniciteit en overgewicht [44]. Hieruit blijkt dat de Afro-Amerikaanse de hoogste obesitascijfers hebben, terwijl Aziaten het laagste aantal heeft. Echt wanneer een Aziaat in Amerika verblijft (permanent), heeft diegene een veel hogere kans om overgewicht te krijgen. Dus omgeving speelt hierin ook een rol.
Wanneer gekeken wordt naar Nederland, België en Duitsland, dan worden culturele factoren als belangrijke rol gezien voor de stijging van obesitascijfers.
Ook worden bepaalde culturele variabelen gezien als ondersteunende factor voor obesitas. Bijvoorbeeld bepaalde grotere delen van het lichaam (big booty! 😉 ).
Zelfs wordt er een onderliggende link uitgelegd welke belangrijk is voor de sociaal-culturele factoren. Dat is de “betekenis” die wordt gegeven per culturele groep (aan obesitas). Dus met andere woorden: als je in een omgeving/cultuur leeft waarbij overgewicht als normaal wordt gezien, dan heb je zelf een grote kans om veel overgewicht te krijgen.
Bovendien hebben ze ook gekeken naar etniciteit en beweging. Hieruit bleek dat etnische minderheden ook een mindere frequentie hebben met betrekking tot sport [44].
– Sociaal-economische factoren en obesitas
Ze kijken hier voornamelijk naar opleiding, inkomen en werk (Sociaal-economische positie – SEP). Zo hebben bepaalde onderzoeken laten zien dat vrouwen die sociaal-economisch niet sterk staan, zes keer zoveel kans maken om overgewicht te krijgen [44]. Echter kwam dezelfde schrijver tot de conclusie dat veel van deze onderzoeken teveel factoren misten, maar wel andersom konden ze met meer zekerheid zeggen dat obesitas leidt tot een lager sociaal-economische positie [44]. Hierin een gissing dat obesitas geen “fitte” indruk geeft bij een werkgever. Iedere werkgever weet dat obesitas gelinkt wordt aan gezondheidsrisico’s en een ongezond leven. Deze kunnen zich uiten in ziekteverzuim welke de werkgever geld gaat kosten.
Verder keken ze naar SEP en het volgen van diëten. Hieruit blijkt dat mensen met een hoge SEP een dieet volgen in de lijn van de richtlijnen voor gezond eetgedrag. Dit, terwijl mensen met een lagere SEP eerder fastfood nuttigen of minder fruit en groenten eten.
Daaropvolgend wordt een hogere SEP gekoppeld aan meer kennis omtrent voeding. Kennis van voeding speelt een rol bij het verbeteren van een dieet [44].
Hieronder wordt door deze bron [44] ook een figuur (Engels) weergegeven hoe sociaal-culturele factoren een rol spelen bij obesitas.
Gezondheid is daarnaast van jezelf, want het gaat om je eigen lichaam. Je voelt je verantwoordelijk voor je eigen lichaam. Hierdoor is het soms lastig om je te overtuigen dat het inhuren van de juiste professional helemaal geen onlogisch idee is.
Zo wordt in deze bron [38] de omgeving ook als een belangrijke factor gezien voor de obesitasepidemie. Denk ook aan het volgende:
- Minder fysiek werk
- Meer tijdsinvestering in televisie kijken, videogames en/of op het Internet surfen
- Werkomgeving verandert (minder tijd maken voor het klaarmaken van eten – kant en klaar)
- Toegang tot etenswaren is versimpeld
Dit zijn slechts voorbeelden van aspecten die in de laatste jááááren zijn veranderd. Alles is in handbereik door het Internet en je hoeft er weinig fysieks voor te doen.
Hieronder een duidelijk (Engels) figuur dat obesitas grotendeels in kaart brengt:
Zoals je ziet is voeding en lichaamsbeweging erg belangrijk, maar spelen er veel meer factoren een rol bij obesitas.
Zelfs in dit onderzoek [39] geven ze aan dat wanneer er in de omgeving meer loopmogelijkheden zijn (denk aan bijvoorbeeld trottoirs) in de buurt, de obesitascijfers minder hoog waren. Je krijgt dan namelijk meer faciliteiten om te bewegen.
Residents of low-walkability neighborhoods had higher BMIs (27.4 vs. 25.3) and were more likely to be classified as overweight (60.4% vs. 35.2%) than residents of high-walkability neighborhoods.
Nu begrijp je dat de context van obesitas een extreem complex onderwerp is.
2. Fysiologische (lichamelijke) factoren
Een lastig onderwerp, maar zeker de moeite waard!
Een verstoring van de homeostase-stand (balans in je lichaam) bij personen wordt in deze bron [22] verdeeld in drie categorieën:
Primaire hyperfagie (verhoogde eetlust)
Leptine deficiëntie is een voorbeeld van primaire hyperfagie. Leptine is een hormoon-eiwit dat gemaakt wordt in de vetcellen. Vervolgens circuleert het in de bloedbaan, waarna het naar de hersenen gaat. Het aanmaken van de hormoon is dus de manier waarop de vetcellen de hersenen vertellen dat het lichaam genoeg energie heeft opgeslagen en dat de persoon in feite vol is (hongergevoel wordt geremd).
Echter zijn deze gevallen zeer zeldzaam!
Secundaire hyperfagie
Hieronder valt bijvoorbeeld: hoofdtrauma, insulinoom (klik hier), tumor in de brein, enzovoort [22]. Hiermee zie je dat de homeostase wordt verstoord, waardoor signalen vanuit de hersenen minder goed verlopen.
Zo zie je in dit onderzoek [42] dat een tumor of andere beschadigingen aan de hypothalamus ervoor zorgt dat hyperfagie kan ontstaan (obesitas syndroom). Een beschadiging aan de functie van de hersenen kan dus ongewenste gevolgen hebben voor eetgedrag.
Tertiaire hyperfagie
Dit is het meest voorkomende variant van hyperfagie, namelijk eet-intervals en onjuiste voedingsmiddelen die gekozen worden. Hiermee wordt ook bedoeld dat maaltijden worden overgeslagen, waardoor dit later wordt gecompenseerd [22]. Denk bijvoorbeeld aan een te kleine lunch en vervolgens niets eten tot 17:00/18:00. Vervolgens twee volle borden avondeten opscheppen om de maag te vullen.
Even een zijspoor, maar er wordt ook steeds aangegeven dat suiker een bom van energie geeft en vervolgens een “crash” geeft. Echter wordt in dezelfde bron [22] aangegeven dat dit een omstreden onderwerp is.
Bovendien in deze bron [36] wordt dezelfde glucosehypothese (glucose = suiker) behandeld. Hierin kwamen de onderzoekers tot de conclusie dat glucose niet aanzet tot meer eten door een “crash”.
Beweging & training
Beweging is gekoppeld aan de energiebalans, maar kan helaas niet als enige oplossing worden gebruikt om overgewicht te laten dalen. Een persoon compenseert namelijk zijn caloriegebruik met sport door meer te gaan eten/drinken [70, 71]. Daarom zie je het aantal sportende mensen stijgen, maar blijven de obesitascijfers ook stijgen!
Krachttraining
In de eerste instantie was het de bedoeling om hier iets te schrijven over wat je moet eten bij krachttraining, maar dat is minder interessant. Daar lees je al van alles over bij 100.000 bronnen. Echter wordt hier meer nadruk gelegd op het preventieve gedeelte van krachttraining, maar ook het verhogen van zelfverzekerdheid door kracht.
In dit onderzoek nemen ze bijvoorbeeld kinderen en jonge mensen (3 tot 20 jaar) en zeggen ze hier dat het zelfvertrouwen toenam, maar er wel veel meer onderzoek gedaan moest worden [44].
Ook in dit onderzoek [45] wordt aangegeven dat volwassenen vooral baat hebben bij gezond gedrag, waaronder ook beweging (ook kracht dus) [45]. Vooral aspecten die onszelf (lichamelijk) beter maken.
Bovendien geeft dit onderzoek [46] dat krachttraining voor meer zelfvertrouwen zorgt, vanwege de lichamelijke veranderingen.
Genoeg bewijs om maar eens flink te gaan tillen!
Cardio training
Cardio(vasculaire) training zorgt voor een continue beweging, waardoor de hartslag verhoogd blijft. Deze continue beweging zorgt voor een continue stijging van het caloriegebruik. Zoals eerder gezegd kan je met cardio veel kilocalorieën verbranden, maar dat is niet de essentie van sport. Cardio is bijvoorbeeld voor het verbeteren van het hart- en vaatstelsel. Dat zorgt voor een beter functionerende hartspier, waardoor meer zuurstof beter wordt vervoerd.
Daarnaast blijkt cardio meer visceraal vet (zoals eerder genoemd: vet rondom organen) te verbranden [47, 48]. Alleen doe je niet cardio om visceraal vet te verbranden, maar omdat het belangrijk is voor het lichaam om de kwaliteit van het leven te verbeteren.
Vergeet ook niet dat visceraal vet ook weer terugkomt, zodra je weer teveel kilocalorieën eet/drinkt.
Let op!
Let wel erop dat cardio zonder begeleiding een ramp kan zijn voor iemand met (zwaar) overgewicht. Als er te weinig algemene kracht is, dan is er een grote kans dat een repeterende belastend bewegingspatroon voor fysieke klachten kan zorgen. Denk bijvoorbeeld aan hardlopen/joggen. Dit is ook per individu verschillend.
Dus begin met krachttraining en zoek veilige manieren om de hartslag te verhogen om het cardiovasculaire systeem te trainen. Wat zijn veilige manieren?:
- Hometrainer (lagere kniebelasting) of buiten fietsen
- Battlerope
- Steptest-achtige oefeningen (basis)
Wat bedoelen mensen met leefstijl dan….?
Veel professionals hebben het over leefstijlveranderingen, maar pakken slechts een gedeelte aan. De aspecten die worden aangepakt zijn vaak: voeding en sport. In vele gevallen zie je hun cliënten tevreden worden, omdat ze fitter en slanker worden door meer beweging en gezonder eetgedrag. Echter wat doe je als iemand blijft stilstaan en je erachter komt dat hij/zij maar 3-4 uur slaapt per nacht door luidruchtige buren of een kind dat haar/hem wakker houdt? Of dat negatieve stress ontstaat door haar werkgever of collega’s die haar/hem niet vriendelijk behandelen? Wat doe je dan?
Om te weten wat stress of slaaptekort voor invloed hebben op lichaamsgewicht, worden hieronder de twee pijlers besproken.
3. Onderdeel psychologie: stress en gewichtsvermindering
Stress kan heel ruim worden omschreven als een reactie op elke prikkel of conditie die spanning veroorzaakt. Dit wil niet zeggen dat per definitie stress slecht is, want er bestaat ook een zogenaamde “eustress”. Dat is positieve stress wat bijvoorbeeld door hoop of als men betekenis kan geven aan hun eigen leven. Denk hierbij ook aan sport en wat voor positieve stress het uitoefent op het lichaam en geest. Als je sport dan ontstaat er stress op je lichaam, waardoor het lichaam zich moet aanpassen.
Acute en Chronische stress
Verder wordt hier meteen een onderscheid gemaakt tussen “acute” en “chronische” stress [51]. Beide aspecten hebben hun eigen impact op een leefstijl. Aldus, zo lijkt het.
- Acute stress = stress wat ontstaat en tijdelijk blijft door een drukke periode
- Chronische stress = blijvende stress wat voor een langere periode vastgehouden wordt
Afslanken en stress
Laat meteen duidelijk zijn dat stress sterk gecorreleerd (sterke samenhang) staat aan gewichtsverlies [49]. Hoe lager de stress, hoe meer het gewichtsverlies. Hiermee bedoelen zij hoogstwaarschijnlijk vooral chronische stress mee, aangezien je dan op lange termijn meer energie gaat nuttigen [50].
Let op: je moet niet vergeten dat de correlatie in de wetenschap betekent dat er een samenhang is, maar er hoeft geen causaliteit (oorzaak en gevolg) te zijn.
Even een voorbeeld: het is een periode met zonnig weer, er worden meer ijsjes verkocht en tegelijkertijd verdrinken er ook meer kinderen tijdens die periode (correlatie). Betekent dit dat het verkoop van ijsjes ervoor zorgt dat de kinderen meer verdrinken (geen causaliteit)? Nee. Door zonnig weer gaan kinderen meer zwemmen, dus heb je een grotere kans dat de kinderen ook verdrinken (causaliteit).
Even een zijspoor gehad en terugkomend op stress en afslanken, heeft ook dit onderzoek chronische stress gekoppeld aan het nuttigen van meer energie (kcal), terwijl acute stress juist voor minder energie-inname zorgde [51]. Hierin zeggen de schrijvers dat de hypothalamus (deel in de hersenen) de afgifte van corticotropine (neurotransmitter – signalen in het zenuwstelsel) verhoogt, waardoor corticosteroïde (bijnierschorshormoon) vrijkomen. Daardoor wordt bijvoorbeeld adrenaline aangemaakt, waardoor je in een soort vecht-vlucht situatie terecht komt. Deze remt de honger (acute stress). Daarnaast remt het ook het hormoon cortisol (stresshormoon).
Echter bij langdurige stress (chronisch) kan er veel cortisol vrijgemaakt worden en blijft het verhoogd.
In hetzelfde onderzoek [51] geven zij aan dat een verhoogde cortisol de behoefte aan “comfort-eten” verhoogd wordt. Dit zijn vaak vet(- en suikerrijke) producten. Vooral met een hoge densiteit (zie het eerdere verhaal over dopamine).
Even voor de duidelijkheid: cortisol is geen hormoon dat per definitie vet opslaat. Zo wordt steeds gezegd, maar cortisol wordt ook bijvoorbeeld verhoogd tijdens een wedstrijdperiode van een bodybuilder. Logisch, omdat het vetpercentage omlaag moet en er minder gegeten wordt. Daardoor ontstaat er ook een stressreactie op je lichaam.
Wel kunnen er afwijkingen in het cortisol kan ontstaan. Denk bij de ziekte van Cushing, waardoor je op bepaalde gebieden extreem vet opslaat. Echter is dit een continue verhoging van cortisol, waardoor het lichaam zich daarop aanpast door vet op te slaan. Dus er moet onderscheid gemaakt worden tussen langdurige verhoging van cortisol en tijdelijk.
Als laatste wordt het Thermogenetic Effect of Food (TEF) erbij gehaald. Dit is de warmte van energie (kcal) dat vrijkomt met het verwerken van voedingsstoffen (macronutriënten – koolhydraten, eiwitten, vetten). Bij eiwit is bijvoorbeeld de TEF-waarde hoog, waardoor je rond de 100-150 kcal per dag extra verbrandt. Alleen zegt dit onderzoek [54] dat de TEF waarde van de stressvolle groep (denk ook aan depressie bijvoorbeeld) op een dag met 435 kJ (ong. 104 kcal) verschilde ten opzichte van de minder stressvolle groep!
Om even een duidelijk beeld te hebben wat stress kan doen met het lichaam, hier een voorbeeld bij krachttraining en herstel:
Stress en herstel bij krachttraining
Zelfs fanatieke training zorgt voor een verhoging in cortisol [51]. Dus dit is weer tijdelijke schijn dat je zogenaamd vetmassa zou aanmaken door die verhoging. Maargoed genoeg over cortisol.
Even een korte analyse wat bijvoorbeeld stress (negatief) kan doen voor krachttraining en het herstel.
Zo wordt in dit onderzoek [52, 53] aangegeven dat het herstel en vooruitgang van krachttraining onder negatieve stress lijdt. Zo ging bijvoorbeeld in onderzoek [52] de bench press (bankdrukken) minder snel vooruit bij de groep waarin veel negatieve stress was.
Echter wil dit niet zeggen dat je ineens niet moet gaan sporten, want negatieve stress bestrijd je ook gedeeltelijk met bewegen. Alleen is de diepliggende oorzaak van negatieve stress veel belangrijker.
Hier moet je denken aan een werkgever die je het leven elke dag zuur maakt door continue negatieve opmerkingen (of andersom). Vervolgens kan er stress ontstaan bij die werknemer ontstaan en dan kan sport slechts een uitlaatklep zijn. Dat is dan weer het bestrijden van symptomen, omdat de oorzaak ergens anders ligt.
conclusie: stress beïnvloedt het gehele lichaam als het gaat om herstel, maar ook met voedingsinname.
Bij acute stress eet je minder en bij chronische stress eet je meer. Dat zijn voorzichtige conclusies die hieruit getrokken kunnen worden.
4. Onderdeel psychologie: slaapgedrag en gewichtsvermindering
Slaap wordt onderschat en je ziet veel intakeformulieren die geen vragen bevatten over slaapgedrag. Dit, terwijl slaapgedrag zeker van invloed is op een leefpatroon. Denk aan vermoeidheidsverschijnselen, wegdoezelen, meer trek om vermoeidheidsverschijnselen op te vangen.
Slaapcycli
Om te begrijpen wat slaap voor impact heeft, moet je in de basis begrijpen wat slaap is. Zo wordt onze slaap in vijf fasen ingedeeld [57]:
Fase 1 (NREM1)
Een overgangsfase tussen waken (wakker) en slapen (ogen dicht ;-)). Vaak heb je hier moeite met het open houden van de ogen en val je uiteindelijk in slaap. Hierdoor neemt de hersenactiviteit af, maar duurt deze periode maar 1 tot 3 minuten.
Fase 2 (NREM2) – lichte slaap
Hier is de slaap licht (begin van de echte slaap). Niet elk geluid maakt je dan nog wakker en niet elk geluid maakt je nog wakker. Echt wanneer je wakker wordt, dan overheerst het gevoel dat je niet diep hebt geslapen. Deze fase heeft een periode van 42 tot 54 minuten.
Fase 3 (NREM3) – diepe slaap
Hier is weer een overgangsfase van een lichte slaap naar een diepe slaap. Door de diepe slaap wordt jouw ademhaling regelmatig, hartritme daalt en spieren raken ontspannen. Deze fase is ook vrij kort en duurt 3 tot 8 minuten.
Fase 4 (NREM4) – diepe slaap
Ook hier is weer een fase dat je echt diep slaapt. De ademhaling en hartritme blijven regelmatig en laag. Als je dan nu wakker wordt, dan ben je tijdelijk gedesoriënteerd (“waar ben ik?”). Dit is een diepe slaap dat zorgt voor fysiek herstel (na het sporten, mentale druk, enzovoort). Deze fase duurt 15 tot 18 minuten.
Fase 5 (REM slaap) – droomslaap
De oogbewegingen worden sneller en er is sprake van grote hersenactiviteit. Of te wel: je gaat dromen, verwerken van informatie van de dag en natuurlijk allerlei geheugenfuncties die een rol spelen.
Tijdens deze fase worden spieren totaal ontspannen, de ademhaling en hartslag zijn onregelmatig en de bloeddruk stijgt. Hier wordt dus veel activiteit plaatst in het lichaam en geest. Of te wel: het kost veel energie. De REM-slaap duurt 18 tot 24 minuten.
Als alle fasen zijn geweest, dan ontwaak je bewust of onbewust en begint de cyclus opnieuw. Let er dus op om voldoende slaap te krijgen voor het herstel van je lichaam. Lukt dat niet? Ga op zoek naar middelen om dit toch te kunnen.
Slaapschuld
Hieronder valt eigenlijk de drang om te gaan slapen (als je bijvoorbeeld lang wakker bent). Wanneer je heel actief bent geweest (mentaal/fysiek) op een dag, dan zal de slaapschuld hoger zijn in de avond. Met meer slaapschuld zal je dus sneller in slaap vallen.
Vergeet niet dat je slaaptekort niet kunt inhalen door één dag 4 uur te slapen en vervolgens de andere dag 10 uur. Je moet elke dag tussen de 6-8 uur slapen, maar dat is per individu ook verschillend. Zo is de REM-slaap bij ouderen veel korter dan bij bijvoorbeeld baby’s [57].
Ghreline en slaaptekort
Ghreline is een hormoon dat het hongergevoel reguleert. Dit wordt significant verhoogd door slaaptekort. Dus je krijgt meer trek als je weinig slaapt [54, 55, 56].
Ad libitum en slaaptekort
Een ad libitum “dieet” is eigenlijk meer een leefstijl, omdat je gaat eten naar willekeurigheid. Dit betekent dat je voor macronutriënten (koolhydraten, eiwitten en vetten) gaat schatten. Zo weet je dat je meer eiwitten moet nemen als je krachttraining doet en zal je vervolgens bepaalde voedingsmiddelen (ei, zuivel, vlees, vis, kip) extra innemen om zo de schatting van eiwitten te verhogen.
Ad libitum is een leefstijl dat veel mensen onbewust en bewust volgen. Onbewust, omdat mensen soms geen idee hebben wat uberhaupt koolhydraten, eiwitten en vetten zijn (lees: geen tot nauwelijks interesse in voedingsleer). Daartegenover staan de bewuste volgers en die zijn vaak meer op de hoogte van deze voedingsstoffen. Officieel worden alleen de bewuste volgers een onderdeel van het ad libitum dieet. Aangezien bijvoorbeeld de inzet van een bewuste volger van dit dieet totaal anders is dan een onbewuste volger die onregelmatig eet.
Zo heeft slaaptekort ook een invloed op de energie-inname, namelijk een verhoging van 20% bij vrouwen in dit onderzoek [58]!
Zo werd hierboven al genoemd dat de Ghreline stijgt, waardoor je meer hongergevoel krijgt. Dus meer energie-inname dan dat je daadwerkelijk nodig hebt. Daar gaan je schattingen als je slecht slaapt ;-).
Fysieke gesteldheid en slaaptekort
Natuurlijk heeft meer of minder eten ook een impact op jouw lichaam. Denk aan vetmassa (VM) en vetvrije massa (VVM). Helaas is VM niet zo functioneel als je kijkt naar beweging. Dit kan bij sport zijn, maar ook gewoon bij traplopen of wandelen naar de supermarkt. Denk aan een voorbeeld van een knieslijtage door overgewicht, omdat elke dag het extra gewicht meegedragen moet worden.
Een ander logisch gevolg van slaaptekort kan dus het volgende zijn:
Verhoging Ghreline –> verhoging energie-inname –> toename vetmassa
Zo wordt in dit onderzoek [59] ook aangegeven dat voldoende slaap ervoor zorgt dat je op lichaamsgewicht blijft. Uiteraard staat slaapgedrag gekoppeld aan deze hele blog over aankomen of afvallen in lichaamsgewicht. Dus pak vooral het onderdeel aan waar het grootste probleem zit.
Ook in dit onderzoek laten ze zien dat voldoende slaap de vetvrije massa reduceert en een stijging in vetvrije massa [60]. Nogmaals: je moet het in perspectief kijken, omdat vetmassa-afname wordt bepaald door de energiebalans (kilocalorie in en kilocalorie uit).
Beter slapen?
Hier zijn een aantal tips om beter te slapen:
- Voorkom felle lichten (mobiel, zonlicht)
- Voorkom teveel drinken voor het slapengaan
- Maak de temperatuur op je slaapkamer comfortabel – zo rond de 19 graden [62]
- Zorg voor een verhoging van de lichaamswarmte door bijvoorbeeld warm te douchen
- Tel desnoods af van 100, zodat je gedachte naar het tellen gaat in plaats van een ander piekmoment
- Uiterste nood: melatonine suppletie (dit wordt normaal veel aangemaakt in het donker door het lichaam om te kunnen slapen) [61]
Zo wordt de slaapkwaliteit ook verminderd door bijvoorbeeld alcoholinname. Je komt in een soort coma-slaap, omdat de diepe slaap veel later ingezet wordt door jouw lichaam. Daarom word je vaak vermoeid wakker als je teveel heb doorgetrokken met alcohol en de nachtelijke uren.
De laatste woorden
Laatst werd er een mooi artikel geplaatst op Facebook over wilskracht en dat niet perse iemand een sterkere wilskracht heeft als diegene wel succesvol is in afslanken.. Vaak denken veel mensen dat succesvolle ex-obese mensen een extreem hoge wilskracht heb, maar diegene hebben hun hele omgeving aangepast naar een nieuwe leefstijl. Deze nieuwe leefstijl bevordert een gezond eet- en beweegpatroon. Denk aan het volgende:
- Geen snoepgoed halen voor thuis
- Veel voedzame voedingsmiddelen in huis halen
- Veel variëren met voeding (kwarkvarianten, fruit, groenten, enz.)
- De omgeving voorbereiden dat ik niet een veelvraat wil zijn
- Een steunpilaar (persoon) die mijn ondersteunt
- Een vast structuur met bewegen/sporten
Obesitas en sportcentra
Bijna alle mensen met veel overgewicht sporten over het algemeen niet of weinig/onregelmatig, omdat ze zich schamen en/of geen zin in hebben. Dit schaamtegevoel komt door onkunde en niet weten wat ze moeten doen. Daar komt bij dat ze het gevoel hebben dat het hele sportcentrum hen aankijkt. Zelfs wordt er in een informatief artikel weergegeven dat het erg belangrijk is om mensen met obesitas een warm welkom te moeten bieden als ze kiezen voor een sportcentrum [72]. Kleinering en neerkijken op mensen met obesitas moet hard worden aangepakt, aldus het artikel.
Als laatste wordt Rob van Berkel bedankt voor zijn fantastische bijdrage in het problematiek van Obesitas door een wetenschappelijk gebaseerd boek uit te brengen over dit onderwerp. Soms zie je bepaalde verwijzingen naar zijn boek toe en het is zeker een aanrader.
Referenties
- Jose Antonio, Corey A Peacock, Anya Ellerbroek, Brandon Fromhoff & Tobin Silver (2014) The effects of consuming a high protein diet (4.4 g/kg/d) on body composition in resistance-trained individuals. Journal of the International Society of Sports Nutrition
- Per B Mikkelsen, Søren Toubro & Arne Astrup (2000) Effect of fat-reduced diets on 24-h energy expenditure: comparisons between animal protein, vegetable protein, and carbohydrate. American Society for Clinical Nutrition
- Anne M. Wolf & Graham A. Colditz (1998) Current Estimates of the Economic Cost of Obesity in the United States. Obesity Research
- A. Tremblay & E. Doucet (2000) Obesity: a disease or a biological adaptation? Obesity Reviews
- P. Kopelman (2006) Health risks associated with overweight and obesity. Obesity Reviews
- Guido A. Rosito, Joseph M. Massaro, Udo Hoffmann, Frederick L. Ruberg, Amir A. Mahabadi, Ramachandran S. Vasan, Christopher J. O’Donnell and Caroline S. Fox (2008) Pericardial Fat, Visceral Abdominal Fat, Cardiovascular Disease Risk Factors, and Vascular Calcification in a Community-Based Sample.
- Tadashi Nakamura, Katsuto Tokunaga, Iichiro Shimomura, Makoto Nishida, Shingo Yoshida, Kazuaki Kotani, A.H.M Waliul Islam, Yoshiaki Keno, Takashi Kobatake, Yoshiyuki Nagai, Shigenori Fujioka, Seiichiro Tarui, Yuji Matsuzawa (1994) Contribution of visceral fat accumulation to the development of coronary artery disease in non-obese men. Elsevier
- Bo Larsson, Calle Bengtsson, Per Björntorp, Leif Lapidus, Lars Sjöstrom, Kurt Svardsudd, Gösta Tlbblin, Hans Wedel, Lennart Welin, & Lars Wilhelmsen (1991) Is Abdominal Body Fat Distribution a Major Explanation for the Sex Difference in the Incidence of Myocardial Infarction? American Journal of Epidemiology
- Westerbacka, J; Corner, A; Tiikkainen, M; Tamminen, M; Vehkavaara, S; Hakkinen, AM; Fredriksson, Jenny & Yki-Jarvinen, H (2004) Women and men have similar amounts of liver and intra-abdominal fat, despite more subcutaneous fat in women: implications for sex differences in markers of cardiovascular risk. Diabetologia
- Yilji Matsiizawa, Taclushi Nakamura, Iichiro Shimomura, Kaziiaki Kotani (1995) Visceral Fat Accumulation and Cardiovascular Disease. Obesity Research
- T Rankinen, S-Y Kim, L PeÂrusse1, J-P DespreÂs1 and C Bouchard (1999) The prediction of abdominal visceral fat level from body composition and anthropometry: ROC analysis. International Journal of Obesity
- Harris et al. (2000) Waist Circumference and Sagittal Diameter Reflect Total Body Fat Better Than Visceral Fat in Older Men and Women: The Health, Aging and Body Composition Study. VIVO body compositions studies
- Robergs RA, Pearson DR, Costill DL, Fink WJ, Pascoe DD, Benedict MA, Lambert CP, Zachweija JJ. Muscle glycogenolysis during differing intensities of weight-resistance exercise. J Appl Physiol.1991;70(4):1700–6.
- Roy BD, Tarnopolsky MA. Influence of differing macronutrient intakes on muscle glycogen resynthesis after resistance exercise. J Appl Physiol. 1998;84(3):890–6.
- M-M G Wilson and J E Morley (2003) Impaired cognitive function and mental performance in mild dehydration. European Journal of Clinical Nutrition
- R J Maughan (2003) Impact of mild dehydration on wellness and on exercise performance. European Journal of Clinical Nutrition
- Lawrence E. Armstrong, Matthew S. Ganio, Douglas J. Casa, Elaine C. Lee, Brendon P. McDermott, Jennifer F. Klau, Liliana Jimenez, Laurent Le Bellego, Emmanuel Chevillotte & Harris R. Lieberman (2012) Mild Dehydration Affects Mood in Healthy Young Women. The Journal of Nutrition
- Lieberman, H.R. (2013) Hydration and Cognition: A Critical Review and Recommendations for Future Research. Journal of the American College Nutrition
- Melissa C. Daniels & Barry M. Popkin (2010) The impact of water intake on energy intake and weight status: a systematic review. Nutr Rev. 2010 Sep; 68(9): 505–521.
- van Geel, A. & Hermans, J. (2015) Voeding en Sport. Tirion Uitgevers
- Benton, D. (2009) The plausibility of sugar addiction and its role in obesity and eating disorders. Journal of Clinical Nutrition
- A. M. Sharma and R. Padwa (2009) Obesity is a sign – over-eating is a symptom: an aetiological framework for the assessment and management of obesity. Obesity Reviews
- Rodin, Judith (1985) Insulin levels, hunger, and food intake: An example of feedback loops in body weight regulation. American Psychological Association
- Carlson HE & Shah JH (1989) Aspartame and its constituent amino acids: effects on prolactin, cortisol, growth hormone, insulin, and glucose in normal humans. American Journal Clinical Nutrition
- Magnuson, B.A., Burdock, G.A., Doul, J. & Williams, G. (2007) Aspartame: A Safety Evaluation Based on Current Use Levels, Regulations, and Toxicological and Epidemiological Studies. Critical Reviews in Toxicology
- Anton SD, Martin CK, Han H, Coulon S, Cefalu WT, Geiselman P. & Williamson DA. (2010) Effects of stevia, aspartame, and sucrose on food intake, satiety, and postprandial glucose and insulin levels. Journal Appetite
- Renwick A.G. (1994) Intense sweeteners, food intake, and the weight of a body of evidence. Journal Psychological Behaviour
- Roni Aviram (2015) Neurobiological responses to images of food and psycho-behavioral correlates in obese binge eaters: a functional MRI study. Columbia University
- Stephen O’Rahilly and I.Sadaf Farooqi (2006) Genetics of obesity. The Royal Society Publishing
- Ashby FG, Isen AM, Turken AU. A neuropsychological theory of positive affect and its influence on cognition. (1999) Psychol Rev 106:529-550
- Gene-Jack Wang, Nora D Volkow, Jean Logan, Naomi R Pappas, Christopher T Wong, Wei Zhu, Noelwah Netusil, Joanna S Fowler (2001) Brain dopamine and obesity. The Lancet 357: 354–57
- Barbara A de Weijer, Elsmarieke van de Giessen†, Thérèse A van Amelsvoort, Erik Boot, Breg Braak, Ignace M Janssen, Arnold van de Laar, Eric Fliers, Mireille J Serlie and Jan Booij (2011) Lower striatal dopamine D2/3 receptor availability in obese compared with non-obese subjects. EJNMMI Research
- Nora D. Volkow, Gene-Jack Wang, and Ruben D. Baler (2011) Reward, dopamine and the control of food intake: implications for obesity. Trends Cognitive Science 2011 Jan; 15(1): 37–46.
- Gene-Jack Wang, MD, Nora D. Volkow, MD, Panayotis K. Thanos, PhD, and Joanna S. Fowler, PhD (2009) Imaging of Brain Dopamine Pathways. J Addict Med. 2009 Mar; 3(1): 8–18.
- Nora D. Volkow, Gene-Jack Wang and Ruben D. Baler (2012) Reward, dopamine and the control of food intake: implications for obesity. Trends Cognitive Science
- Schultes B, Panknin AK, Hallschmid M, Jauch-Chara K, Wilms B, de Courbière F, Lehnert H, Schmid SM. (2016) Glycemic increase induced by intravenous glucose infusion fails to affect hunger, appetite, or satiety following breakfast in healthy men
- Jose Antonio, Corey A Peacock, Anya Ellerbroek, Brandon Fromhoff and Tobin Silver (2014) The effects of consuming a high protein diet (4.4 g/kg/d) on body composition in resistance-trained individuals. Journal of the International Society of Sports Nutrition
- James O. Hill, Holly R. Wyatt, George W. Reed, John C. Peters (2003) Obesity and the Environment: Where Do We Go from Here? Science Magazine Volume 299
- Mia A. Papas, Anthony J. Alberg, Reid Ewing, Kathy J. Helzlsouer, Tiffany L. Gary, and Ann C. Klassen (2007) The Built Environment and Obesity. Epidemiologic Reviews
- Berkulo MA (2015), Bol S, Levels K, Lamberts RP, Daanen HA, Noakes TD. Ad-libitum drinking and performance during a 40-km cycling time trial in the heat. Eur J Sport Sci. 2015 Feb 12:1-8
- van Berkel, R. (2015) Overgewicht en obesitas: de feiten op een rij. Uitgeverij: Pumbo.nl
- Michelle Lee & Judith Korner (2008) Review of physiology, clinical manifestations, and management of hypothalamic obesity in humans. Springer Science + Business Media, LLC
- BARBARA J. ROLLS, EDMUND T. ROLLS, EDWARD A. ROWE AND KEVIN SWEENEY (1981) Sensory Specific Satiety in Man. Physiology & Behavior, Vol. 27, pp. 137-142
- E Ekeland, F Heian, K B Hagen (2016) Can exercise improve self esteem in children and young people? A systematic review of randomised controlled trials. Br. Journal Sports Medicine
- Biddle, S.J.H, Fox, K.R. & Boutcher S.H. (2000) Physical Activity and Psychological Well-being. Londen: Routledge Group
- Merrill J. Melnick, Swapan Mookerjee (1991) Effects of Advanced Weight Training on Body-Cathexis and Self-Esteem. Sage Journals
- Verheggen RJ, Maessen MF, Green DJ, Hermus AR, Hopman MT1, Thijssen DH. (2016) A systematic review and meta-analysis on the effects of exercise training versus hypocaloric diet: distinct effects on body weight and visceral adipose tissue. Obesity Reviews
- Vissers, D., Hens, W., Taeymans, J., Baeyens, J-P, Poortmans, J. & van Gaal, L. (2013) The Effect of Exercise on Visceral Adipose Tissue in Overweight Adults: A Systematic Review and Meta-Analysis. Plos One Publishing
- C R Elder, C M Gullion, K L Funk, L L DeBar, N M Lindberg and V J Stevens (2012) Impact of sleep, screen time, depression and stress on weight change in the intensive weight loss phase of the LIFE study. International Journal of Obesity 36, 86-92
- Torres, Susan and Nowson, Caryl (2007) Relationship between stress, eating behavior and obesity. Nutrition, vol. 23, no. 11-12, pp. 887-894.
- Harvard Mental Health (2012) “Letter Why stress causes people to overeat” artikel gevonden 09 november 2016 op: http://www.health.harvard.edu/newsletter_article/why-stress-causes-people-to-overeat
- Bartholomew JB, Stults-Kolehmainen MA, Elrod CC, Todd JS (2008) Strength gains after resistance training: the effect of stressful, negative life events. Journal of Strength and Conditioning Research
- Janice K. Kiecolt-Glase, Diane L. Habash, Christopher P. Fagundes, Rebecca Andridge, Juan Peng, William B. Malarkey, Martha A. Belury (2015) Daily Stressors, Past Depression, and Metabolic Responses to High-Fat Meals: A Novel Path to Obesity. Journal of Psychiatric Neuroscience Therapeutics
- Broussard, J.L., Kilkus, J.M, Delebecque, F., Abraham, V., Day, A., Whitmore, H.R. & Tasali, E. (2015) Elevated ghrelin predicts food intake during experimental sleep restriction. Obesity Research Journal
- Shahrad Taheri, Ling Lin, Diane Austin, Terry Young, Emmanuel Mignot (2004) Short Sleep Duration Is Associated with Reduced Leptin, Elevated Ghrelin, and Increased Body Mass Index. PLOS Medicine Publishing
- Schmid, S.M., Hallschmid, M., Jauch-Chara, K., Born, J. & Schultes, B. (2008) A single night of sleep deprivation increases ghrelin levels and feelings of hunger in normal-weight healthy men. Journal of Sleep Research
- “Slaapcycli & fasen” artikel gevonden 14-11-2016 op: http://educatie.ntr.nl/beterslapen/index.jsp?nr=574728
- Bosy-Westphal A, Hinrichs S, Jauch-Chara K, Hitze B, Later W, Wilms B, Settler U, Peters A, Kiosz D, Muller MJ. (2008) Influence of partial sleep deprivation on energy balance and insulin sensitivity in healthy women. Obesity Facts
- Nedeltcheva AV, Kilkus JM, Imperial J, Schoeller DA, Penev PD (2010) Insufficient sleep undermines dietary efforts to reduce adiposity. Annals of Internal Medicine
- Amstrup AK, Sikjaer T, Pedersen SB, Heickendorff L, Mosekilde L1, Rejnmark L (2016) Reduced fat mass and increased lean mass in response to 1 year of melatonin treatment in postmenopausal women: A randomized placebo-controlled trial. Clinical Endocrinology
- Eduardo Ferracioli-Oda, Ahmad Qawasmi, Michael H. Bloch (2013) Meta-Analysis: Melatonin for the Treatment of Primary Sleep Disorders. PLOS ONE publishing
- A. Muzet, J. -P. Libert, V. Candas (1984) Ambient temperature and human sleep. Experentia Volume 40, Issue 5, pp 425–429
- D Benton and H A Young (2016) A meta-analysis of the relationship between brain dopamine receptors and obesity: a matter of changes in behavior rather than food addiction? International Journal of Obesity
- Bouchard, C. (1994) The Genetics of Obesity. CRC Press
- VICTOR L. KATCH, BARBARA CAMPAIGNE, PATTY FREEDSON, STANLEY SADY, FRANK I. KATCH, ALBERT R. BEHNKE (1980) Contribution of Breast Volume and Weight to Body Fat Distribution in Females. AMERICAN JOURNAL OF PHYSICAL ANTHROPOLOGY 53:93-100
- https://www.volksgezondheidenzorg.info/onderwerp/overgewicht/cijfers-context/bevolkingsgroepen#node-overgewicht-naar-opleidingsniveau-hele-bevolking-mannenvrouwen geraadpleegd op 21-11-2016.
- https://www.volksgezondheidenzorg.info/onderwerp/overgewicht/cijfers-context/bevolkingsgroepen#node-overgewicht-naar-opleidingsniveau-leeftijdscategorieën geraadpleegd op 21-11-2016
- https://www.volksgezondheidenzorg.info/onderwerp/overgewicht/regionaal-internationaal/regionaal#node-overgewicht-ggd-regio geraadpleegd op 21-11-2016
- Kwaliteitsinstituut voor de Gezondheidszorg CBO (2008) Richtlijn Diagnostiek en behandeling van obesitas bij volwassenen en kinderen. Van Zuiden Communications B.V
- King NA, Caudwell P, Hopkins M, Byrne NM, Colley R, Hills AP, Stubbs JR, Blundell JE. (2007) Metabolic and behavioral compensatory responses to exercise interventions: barriers to weight loss. Obesity journal
- Whybrow S, Hughes DA, Ritz P, Johnstone AM, Horgan GW, King N, Blundell JE, Stubbs RJ. (2008) The effect of an incremental increase in exercise on appetite, eating behaviour and energy balance in lean men and women feeding ad libitum. The British Journal of Nutrition
- Bradley J. Cardinal Alyssa R. Whitney Momoko Narimatsu Nicole Hubert Brian J. Souza (2014) Obesity Bias in the Gym: An Under-recognized Social Justice, Diversity, and Inclusivity Issue.
- Roques, J. (2015) Psychoneurobiology: origins and extension of the EMDR. Uitgeverij: Books on Demand
- http://statline.cbs.nl/StatWeb/publication/?DM=SLNL&PA=81565NED geraadpleegd op 19-01-2017











